Nous allons appliquer la technique des fractions continues pour calculer la transmission d'états électroniques à travers une barrière de potentiel V(x). Cette barrière est caractérisée par une longueur L et discrétisée en x=i.Δx, où i va de 1 à N (Δx=L/N).
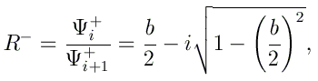
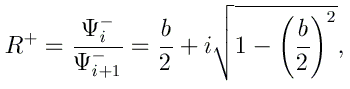
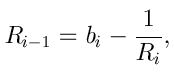
Nous posons que les régions d'incidence et de transmission sont caractérisées par un potentiel constant V0. Les coefficients bi rencontrés dans la technique des fractions continues prennent alors la valeur constante



Pour le problème de diffusion, nous posons l'existence d'un état sortant dans la région de transmission. Cela revient à poser cette fois






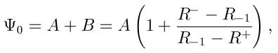
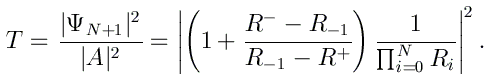
Le coefficient de transmission T est finalement calculé par

Le potentiel considéré sera celui pour lequel nous avons calculé la structure de bandes:

Comme précédemment, nous discrétisons le motif de base [0, L] de ce potentiel avec N=40 points. Les régions d'incidence et de transmission sont caractérisées par un potentiel V0 de 0 eV.
Vous représenterez ces 8 courbes sur le même graphique.
Comment reliez-vous les résultats obtenus autour de 2 et 8 eV avec la structure de bandes calculée pour le méme potentiel ?
Commentez vos observations (loi de décroissance de la transmission dans le gap + problème rencontré à grande distance).



Pour ce TP, vous devez me remettre:
Afin de représenter graphiquement vos résultats, vous pouvez utiliser
la routine Plot.
Celle-ci vous permet
de visualiser une ou plusieurs fonctions y=y(x) en faisant simplement
call Plot(list_x, list_y).
Vous devez pour cela inclure use PlotPack dans les parties de vos programmes
qui utilisent Plot. Vous trouverez plus de détails sur
son utilisation dans les commentaires préliminaires
du fichier.
Si vous connaissez le Python, vous pouvez encore faire python Plot.py Plot.dat (Python 2.7). Vous trouverez
dans le fichier Plot.dat un exemple de format à respecter.
Afin d'obtenir une sortie PostScript de fonctions y=y(x),
vous pouvez utiliser la routine PgPlot.
Celle-ci s'utilise de manière similaire à Plot.
Pour représenter une ou plusieurs fonctions y=y(x), il suffit de
faire
call PgPlot(list_x, list_y). Vous devez pour cela
inclure use PgPlotPack dans les parties de vos programmes
qui utilisent PgPlot.
Vous trouverez plus de détails sur son utilisation dans
les commentaires préliminaires du fichier.