Nous résolvons toujours l'équation de Schrödinger indépendante du temps

D'après le théorème de Bloch, la fonction d'onde peut s'exprimer comme Ψ(x)=u(x) eikx, où u(x+L)=u(x)
et k est le vecteur d'onde.
Nous pouvons donc poser

En pratique, les valeurs de ce vecteur d'onde k sont restreintes à la première zone de Brillouin [-π/L, π/L]. Pour obtenir la structure de bandes de ce système, il faut en fait calculer les valeurs de l'énergie E en fonction du vecteur d'onde k.
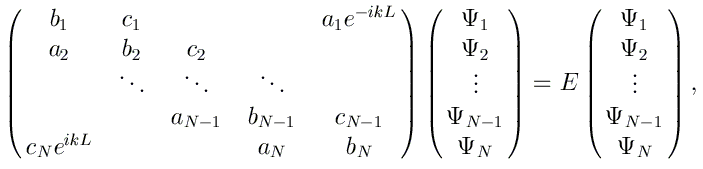
Il est possible d'obtenir cette structure de bandes par différences finies. L'équation de Schrödinger peut en effet se discrétiser comme

Nous utilisons cette fois comme conditions frontières

Les équations obtenues pour i allant de 1 à N peuvent alors se mettre sous la forme


On se trouve à nouveau face à un système du type Ax=λx. Pour une valeur donnée de k, les valeurs propres de la matrice A fournissent donc les énergies E(k). Les vecteurs propres fournissent quant-à-eux les amplitudes de la fonction d'onde Ψk dans l'intervalle [0, L]. La matrice A n'est cependant plus tridiagonale. Pour la diagonaliser, nous utiliserons la sous-routine zheevd de LAPACK.
Nous allons calculer la structure de bandes associée au potentiel

Prenez N=40 points pour discrétiser le motif périodique [0, L]. Vous échantillonerez la première zone de Brillouin [-π/L, π/L] en prenant des k espacés de (1/1000) 2π/L. Pour chaque valeur de k, vous calculerez les niveaux d'énergie E(k). L'exercice consiste à représenter la structure de bandes E=E(k) du cristal (ne représentez que les énergies E(k) qui sont en deçà de 10 eV).
Vos résultats se présenteront sous la forme de points dispersés. Vous les représenterez en utilisant la libriairie PGPLOT. La représentation graphique devra se faire dans un programme séparé. Les calculs doivent se faire en double précision. Convertissez vos résultats en simple précision pour les représenter avec PGPLOT.
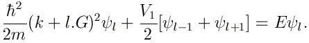
Les structures de bandes sont plus souvent calculées en utilisant une représentation par ondes planes. L'énergie potentielle V(x) considérée précédemment s'écrit dans cette représentation comme

En se basant à nouveau sur le théorème de Bloch, on peut développer la fonction d'onde Ψ(x) comme

En remplaçant ces expressions de V(x) et Ψ(x) dans l'équation de Schrödinger


Les équations obtenues en considérant des indices l allant de -N à +N peuvent alors se mettre sous la forme


Nous allons calculer la structure de bandes associée au potentiel V(x) par cette deuxième méthode. Comme précédemment, la première zone de Brillouin [-π/L, π/L] sera échantillonée avec des k espacés de (1/1000) 2π/L et vous ne conserverez que les valeurs de E(k) qui sont en deçà de 10 eV.
Vous appliquerez cette deuxième technique en prenant N=2 (notez l'économie dans la représentation!) et superposerez la structure de bandes ainsi obtenue avec le résultat précédent (prenez une autre couleur).
L'accord entre les deux techniques est-il satisfaisant ?
Observez ce qu'il se passe lorsqu'on applique la méthode par différences finies avec N=10, 20 et 40 points de discrétisation.
Observez ce qu'il se passe lorsqu'on applique la méthode par ondes planes avec N=0, 1 et 2. Comment expliquez-vous le résultat obtenu avec N=0?
Pour ce TP, vous devez me remettre:
Pour calculer les valeurs et vecteurs propres d'une matrice hermitienne complexe (double précision),
vous pouvez utiliser la sous-routine
zheevd de la librairie
LAPACK.
Sa syntaxe est la suivante:
call ZHEEVD( JOBZ, UPLO, N, A, LDA, W, WORK, LWORK, RWORK, LRWORK, IWORK, LIWORK, INFO )
où
JOBZ='N' pour obtenir les valeurs propres (sans les vecteurs propres),
UPLO='U' pour indiquer que l'on fournit la partie triangulaire supérieure de la matrice,
N et LDA spécifient l'ordre de la matrice à diagonaliser,
A(1:N,1:N) est la matrice complexe à diagonaliser,
W(1:N) est un vecteur réel double précision qui contient en sortie les valeurs propres,
WORK(1:LWORK) est un vecteur complexe double précision (espace de travail),
LWORK=N+1,
RWORK(1:LRWORK) est un vecteur réel double précision (espace de travail),
LRWORK=N,
IWORK(1:LIWORK) est un vecteur entier (espace de travail),
LIWORK=1 et
INFO est un entier qui vaut 0 en sortie si tout s'est bien passé.
En sortie de la sous-routine, les valeurs propres de la matrice sont rangées par
ordre croissant dans le vecteur W(1:N).
Vous trouvez toutes ces explications au début du listing de
zheevd.
Vous pouvez utiliser zheevd directement, sans l'inclure dans
votre projet ni créer d'interface ! Il faut cependant compiler
votre projet en le liant à la librairie LAPACK. La manière de faire dépend de
votre compilateur. Vous trouverez les explications nécessaires sur
ma page consacrée à LAPACK.
On trouve facilement la routine à utiliser pour un problème
donné en parcourant le site de la librairie. La manière d'utiliser cette routine
est alors expliquée au début du listing.
Afin de représenter graphiquement vos résultats, vous pouvez utiliser
la routine Plot.
Celle-ci vous permet
de visualiser une ou plusieurs fonctions y=y(x) en faisant simplement
call Plot(list_x, list_y).
Vous devez pour cela inclure use PlotPack dans les parties de vos programmes
qui utilisent Plot. Vous trouverez plus de détails sur
son utilisation dans les commentaires préliminaires
du fichier.
Si vous connaissez le Python, vous pouvez encore faire python Plot.py Plot.dat (Python 2.7). Vous trouverez
dans le fichier Plot.dat un exemple de format à respecter.
Afin de représenter graphiquement l'énergie potentielle et
produire un fichier PostScript, vous pouvez utiliser
le programme GetPlot.exe.
Celui-ci vous permet de visualiser une ou plusieurs fonctions y=y(x), en
exécutant simplement ce programme dans le répertoire où se trouvent vos fichiers.
Le lien suivant décrit le
format des fichiers de données.
